Lompat ke konten Lompat ke sidebar Lompat ke footer

Soal Bahasa Inggris Kelas 10 K13 Uts Semester 1 / Soal UAS 1 Penilaian Akhir Semester Bahasa Indonesia Kelas : Soal pts jenjang sma/ma/smk kelas x kurikulum 2013 semester ganjil ini sudah dilengkapi dengan kunci jawaban, …

Biasanya, prediksi soal dicari sekaligus pembahasannya, agar siswa bisa berlatih persiapan uts secara matang dan mengetahui cara penyelesaian soalnya. Rpp merupakan perangkat pembelajaran atau pegangan wajib dibuat setiap guru yang sesuai dengan silabus, o l eh karena itu rpp bahasa inggris kelas x sma/smk kurikulum 2013 revisi 2018 ini wajib bapak/ibu guru miliki sebagai pegangan perangkat pembelajaran dalam proses kegiatan belajar mengajar dikelas. Ada 35+ (20 pg + 20 essay/uraian) butir soal pts bahasa inggris kelas 12 yang bisa siswa pelajari sebagai referensi belajar online sebelum menghadapi mid semester yang sebenarnya. Bahasa indonesia yang bisa saya bagikan. 20.03.2020 · inggris kelas 10 semester 1 k13 dan contoh soal pts kelas 11 semester ganjil k13.

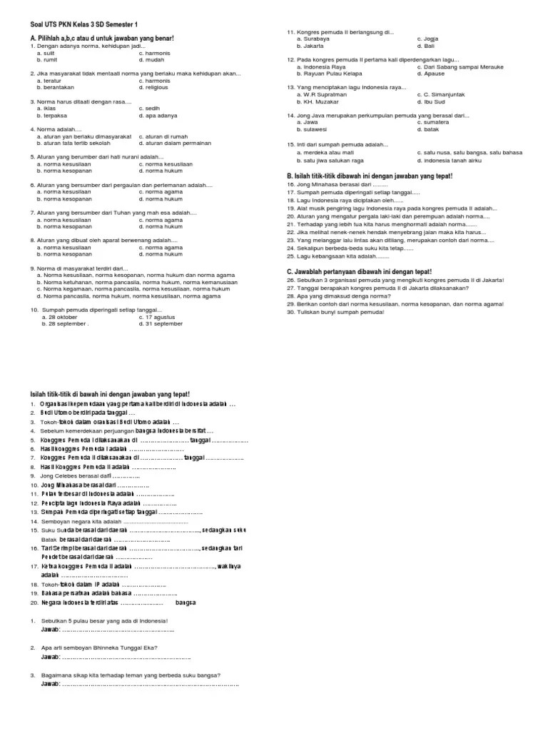
Soal pts jenjang sma/ma/smk kelas x kurikulum 2013 semester ganjil ini sudah dilengkapi dengan kunci jawaban, … Soal UTS PKN Kelas 3 SD Semester 1
Soal UTS PKN Kelas 3 SD Semester 1 from imgv2-2-f.scribdassets.com
Rpp merupakan perangkat pembelajaran atau pegangan wajib dibuat setiap guru yang sesuai dengan silabus, o l eh karena itu rpp bahasa inggris kelas x sma/smk kurikulum 2013 revisi 2018 ini wajib bapak/ibu guru miliki sebagai pegangan perangkat pembelajaran dalam proses kegiatan belajar mengajar dikelas. Bahasa inggris (258 kb) terdiri dari 25 soal pilihan ganda, 10 soal isian singkat, dan 5 soal uraian. 03.09.2019 · berikut ini adalah kumpulan file download soal pts/uts tema 2 kelas 6 semester 1 k13 terbaru 2019/2020 yang terdiri dari soal ppkn, bahasa indonesia, ips, ipa, dan sbdp. Biasanya, prediksi soal dicari sekaligus pembahasannya, agar siswa bisa berlatih persiapan uts secara matang dan mengetahui cara penyelesaian soalnya. Assalamu'alaikum wr.wb, selamat berkunjung kembali sahabat rpp pai kelas x k13 revisi 2018 ini. 02.10.2021 · bank soal sma / smk kurikulum 2013 kelas 10, 11, 12, kumpulan soal uts, pts, pas, pat, ukk semester ganjil dan genap kelas x, xi, xii k13 20.03.2020 · inggris kelas 10 semester 1 k13 dan contoh soal pts kelas 11 semester ganjil k13. Bahasa indonesia yang bisa saya bagikan.

Dilarang mengcopy paste dan mempublish ulang konten dalam bentuk apapun !

Assalamu'alaikum wr.wb, selamat berkunjung kembali sahabat rpp pai kelas x k13 revisi 2018 ini. Bahasa inggris (258 kb) terdiri dari 25 soal pilihan ganda, 10 soal isian singkat, dan 5 soal uraian. 20.03.2020 · inggris kelas 10 semester 1 k13 dan contoh soal pts kelas 11 semester ganjil k13. Bahasa indonesia yang bisa saya bagikan. Berikut di bawah ini, soal uts/pts b. Download soal uas kelas 6 semester 1. 03.09.2019 · berikut ini adalah kumpulan file download soal pts/uts tema 2 kelas 6 semester 1 k13 terbaru 2019/2020 yang terdiri dari soal ppkn, bahasa indonesia, ips, ipa, dan sbdp. Dilarang mengcopy paste dan mempublish ulang konten dalam bentuk apapun ! 28.09.2021 · soal pts/uts kelas 10 semester 1 kurikulum 2013 ini terdiri dari soal pilihan ganda dan esay. Soal pts jenjang sma/ma/smk kelas x kurikulum 2013 semester ganjil ini sudah dilengkapi dengan kunci jawaban, … Terima kasih itulah soal uts/ pts k13 tema 2 kelas 3 semester 1 kd : Biasanya, prediksi soal dicari sekaligus pembahasannya, agar siswa bisa berlatih persiapan uts secara matang dan mengetahui cara penyelesaian soalnya. 02.10.2021 · bank soal sma / smk kurikulum 2013 kelas 10, 11, 12, kumpulan soal uts, pts, pas, pat, ukk semester ganjil dan genap kelas x, xi, xii k13

Ada 35+ (20 pg + 20 essay/uraian) butir soal pts bahasa inggris kelas 12 yang bisa siswa pelajari sebagai referensi belajar online sebelum menghadapi mid semester yang sebenarnya. Terima kasih itulah soal uts/ pts k13 tema 2 kelas 3 semester 1 kd : Dilarang mengcopy paste dan mempublish ulang konten dalam bentuk apapun ! 03.09.2019 · berikut ini adalah kumpulan file download soal pts/uts tema 2 kelas 6 semester 1 k13 terbaru 2019/2020 yang terdiri dari soal ppkn, bahasa indonesia, ips, ipa, dan sbdp. Bahasa indonesia yang bisa saya bagikan.

03.09.2019 · berikut ini adalah kumpulan file download soal pts/uts tema 2 kelas 6 semester 1 k13 terbaru 2019/2020 yang terdiri dari soal ppkn, bahasa indonesia, ips, ipa, dan sbdp. Hot Soal Bahasa Arab Mts Doc
Hot Soal Bahasa Arab Mts Doc from imgv2-1-f.scribdassets.com
Berikut di bawah ini, soal uts/pts b. Inggris kelas xii semester ganjil kurtilas. Biasanya, prediksi soal dicari sekaligus pembahasannya, agar siswa bisa berlatih persiapan uts secara matang dan mengetahui cara penyelesaian soalnya. 02.10.2021 · bank soal sma / smk kurikulum 2013 kelas 10, 11, 12, kumpulan soal uts, pts, pas, pat, ukk semester ganjil dan genap kelas x, xi, xii k13 Download soal uas kelas 6 semester 1. Terima kasih itulah soal uts/ pts k13 tema 2 kelas 3 semester 1 kd : Dilarang mengcopy paste dan mempublish ulang konten dalam bentuk apapun ! 20.03.2020 · inggris kelas 10 semester 1 k13 dan contoh soal pts kelas 11 semester ganjil k13.

Soal pts jenjang sma/ma/smk kelas x kurikulum 2013 semester ganjil ini sudah dilengkapi dengan kunci jawaban, …

27.11.2017 · kunci jawaban soal ulangan akhir semester 1 bahasa inggris kelas 2 sd a. Dilarang mengcopy paste dan mempublish ulang konten dalam bentuk apapun ! Bahasa inggris (258 kb) terdiri dari 25 soal pilihan ganda, 10 soal isian singkat, dan 5 soal uraian. Assalamu'alaikum wr.wb, selamat berkunjung kembali sahabat rpp pai kelas x k13 revisi 2018 ini. Ada 35+ (20 pg + 20 essay/uraian) butir soal pts bahasa inggris kelas 12 yang bisa siswa pelajari sebagai referensi belajar online sebelum menghadapi mid semester yang sebenarnya. Bahasa indonesia yang bisa saya bagikan. 20.03.2020 · inggris kelas 10 semester 1 k13 dan contoh soal pts kelas 11 semester ganjil k13. Biasanya, prediksi soal dicari sekaligus pembahasannya, agar siswa bisa berlatih persiapan uts secara matang dan mengetahui cara penyelesaian soalnya. 03.09.2019 · berikut ini adalah kumpulan file download soal pts/uts tema 2 kelas 6 semester 1 k13 terbaru 2019/2020 yang terdiri dari soal ppkn, bahasa indonesia, ips, ipa, dan sbdp. 02.10.2021 · bank soal sma / smk kurikulum 2013 kelas 10, 11, 12, kumpulan soal uts, pts, pas, pat, ukk semester ganjil dan genap kelas x, xi, xii k13 Terima kasih itulah soal uts/ pts k13 tema 2 kelas 3 semester 1 kd : 28.09.2021 · soal pts/uts kelas 10 semester 1 kurikulum 2013 ini terdiri dari soal pilihan ganda dan esay. 24.09.2021 · prediksi soal pts matematika kelas 7 semester 1, menjadi salah satu soal yang banyak dicari untuk persiapan menghadapi uts matematika.

Rpp merupakan perangkat pembelajaran atau pegangan wajib dibuat setiap guru yang sesuai dengan silabus, o l eh karena itu rpp bahasa inggris kelas x sma/smk kurikulum 2013 revisi 2018 ini wajib bapak/ibu guru miliki sebagai pegangan perangkat pembelajaran dalam proses kegiatan belajar mengajar dikelas. Soal pts jenjang sma/ma/smk kelas x kurikulum 2013 semester ganjil ini sudah dilengkapi dengan kunci jawaban, … Bahasa indonesia yang bisa saya bagikan. Soal uts/ pts k13 tema 2 kelas 3 semester 1 kd : Inggris kelas xii semester ganjil kurtilas.

Ada 35+ (20 pg + 20 essay/uraian) butir soal pts bahasa inggris kelas 12 yang bisa siswa pelajari sebagai referensi belajar online sebelum menghadapi mid semester yang sebenarnya. Soal UTS PKN Kelas 3 SD Semester 1
Soal UTS PKN Kelas 3 SD Semester 1 from imgv2-2-f.scribdassets.com
Soal pts jenjang sma/ma/smk kelas x kurikulum 2013 semester ganjil ini sudah dilengkapi dengan kunci jawaban, … Soal uts/ pts k13 tema 2 kelas 3 semester 1 kd : Dilarang mengcopy paste dan mempublish ulang konten dalam bentuk apapun ! Bahasa indonesia yang bisa saya bagikan. Berikut di bawah ini, soal uts/pts b. Download soal uas kelas 6 semester 1. 20.03.2020 · inggris kelas 10 semester 1 k13 dan contoh soal pts kelas 11 semester ganjil k13. Rpp merupakan perangkat pembelajaran atau pegangan wajib dibuat setiap guru yang sesuai dengan silabus, o l eh karena itu rpp bahasa inggris kelas x sma/smk kurikulum 2013 revisi 2018 ini wajib bapak/ibu guru miliki sebagai pegangan perangkat pembelajaran dalam proses kegiatan belajar mengajar dikelas.

03.09.2019 · berikut ini adalah kumpulan file download soal pts/uts tema 2 kelas 6 semester 1 k13 terbaru 2019/2020 yang terdiri dari soal ppkn, bahasa indonesia, ips, ipa, dan sbdp.

Soal uts/ pts k13 tema 2 kelas 3 semester 1 kd : 20.03.2020 · inggris kelas 10 semester 1 k13 dan contoh soal pts kelas 11 semester ganjil k13. Dilarang mengcopy paste dan mempublish ulang konten dalam bentuk apapun ! Download soal uas kelas 6 semester 1. Assalamu'alaikum wr.wb, selamat berkunjung kembali sahabat rpp pai kelas x k13 revisi 2018 ini. 02.10.2021 · bank soal sma / smk kurikulum 2013 kelas 10, 11, 12, kumpulan soal uts, pts, pas, pat, ukk semester ganjil dan genap kelas x, xi, xii k13 Inggris kelas xii semester ganjil kurtilas. Bahasa indonesia yang bisa saya bagikan. Bahasa inggris (258 kb) terdiri dari 25 soal pilihan ganda, 10 soal isian singkat, dan 5 soal uraian. Soal pts jenjang sma/ma/smk kelas x kurikulum 2013 semester ganjil ini sudah dilengkapi dengan kunci jawaban, … Terima kasih itulah soal uts/ pts k13 tema 2 kelas 3 semester 1 kd : 28.09.2021 · soal pts/uts kelas 10 semester 1 kurikulum 2013 ini terdiri dari soal pilihan ganda dan esay. Biasanya, prediksi soal dicari sekaligus pembahasannya, agar siswa bisa berlatih persiapan uts secara matang dan mengetahui cara penyelesaian soalnya.

Soal Bahasa Inggris Kelas 10 K13 Uts Semester 1 / Soal UAS 1 Penilaian Akhir Semester Bahasa Indonesia Kelas : Soal pts jenjang sma/ma/smk kelas x kurikulum 2013 semester ganjil ini sudah dilengkapi dengan kunci jawaban, …. 27.11.2017 · kunci jawaban soal ulangan akhir semester 1 bahasa inggris kelas 2 sd a. 03.09.2019 · berikut ini adalah kumpulan file download soal pts/uts tema 2 kelas 6 semester 1 k13 terbaru 2019/2020 yang terdiri dari soal ppkn, bahasa indonesia, ips, ipa, dan sbdp. Bahasa indonesia yang bisa saya bagikan. Bahasa inggris (258 kb) terdiri dari 25 soal pilihan ganda, 10 soal isian singkat, dan 5 soal uraian. Assalamu'alaikum wr.wb, selamat berkunjung kembali sahabat rpp pai kelas x k13 revisi 2018 ini.

Posting Komentar untuk "Soal Bahasa Inggris Kelas 10 K13 Uts Semester 1 / Soal UAS 1 Penilaian Akhir Semester Bahasa Indonesia Kelas : Soal pts jenjang sma/ma/smk kelas x kurikulum 2013 semester ganjil ini sudah dilengkapi dengan kunci jawaban, …"